
Suninatas 21번 (난이도 하, foremost 도구를 사용하여 문제를 풉니다.)
문제를 보고 파일 크기를 젤 처음 확인해 보았는데 화질이 너무 안좋은데 용량 이1.4MB였다. 여기서 이 파일에 무언가 더 숨겨져 있을거라고 확신하고 ppt 힌트에 있던 foremost 도구를 활용 했다.

탐색 대상을 정확히 모르니까 all로 하고 계속 입력해 보았는데 위와 같이 stdin 만 계속 뜬다. 이 것을 해결하기 위해 재부팅도 해봤고 인터넷에서 많은 자료를 얻어 시도했지만 전부 다 헛수고………. 그래서 포기 하고 그냥 HxD를 사용했다.

위의 사진에서 flag 값 ‘H4CC3R_IN_TH3_MIDD33_4TT4CK’를 얻었다.
N0Named wargame MagicIMAGE (난이도 하)
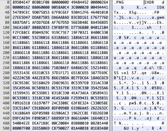
Mandu.png파일을 열어도 파일이 열리지 않아 HxD 프로그램으로 파일을 분석해 보았다.

헤더 시그니처 값이 제대로 되어 있지 않아 파일이 실행 안된 것 같다
89 0 4E 47 0D 0A 1A 0A로바꾸면

'Security > Forensic Problem Solving' 카테고리의 다른 글
| [Forensic] N0named wargame [B] 유출된 자료 거래 사건[3] 문제 풀이 (0) | 2021.01.28 |
|---|---|
| [Forensic] N0named wargame [B] 유출된 자료 거래 사건[2] 문제 풀이 (0) | 2021.01.28 |
| [Forensic] N0named wargame [C]우리의 추억들 문제 풀이 (0) | 2021.01.28 |
| [Forensic] N0named wargame infect 문제 풀이 (1) | 2021.01.22 |